第768回 共学中の入試問題 比と割合 4
「第768回 共学中の入試問題 比と割合 4」
近年に共学中の入試で出された「比と割合」の問題を見てきています。
今回は「仕事算」と「ニュートン算」を取り扱います。
1問目は、少し難しい仕事算の定番問題です。
【問題】次の[ ]にあてはまる数を求めなさい。
あるタンクに2種類の排水管A、Bがついていて、それぞれ一定の割合で水を排水します。満水のタンクからA2本とB1本で排水すると18分、A1本とB2本で排水すると15分でそれぞれタンクは空になります。満水のタンクからA1本で排水し、全体の13/27排水したところで、Aを閉じてB1本を開けて排水し、タンクを空にしました。このとき、満水のタンクを空にするのに[ ア ]分[ イ ]秒かかりました。
(明治大学付属明治中学校 第1回 2025年 問題1-(3) 問題文一部変更)
【考え方】
「排水管A」、「排水管B」のように「名前のある仕事算(仕事能力に差がある)」の原則は、「全体の仕事量を1または時間の最小公倍数とする」です。
ここでは満水時の水量を時間(18分と15分)の最小公倍数である90○とし、1分あたりの水量の変化に着目します。

消去算です。

A1本とB1本の排水量の和と差がわかりましたので、和差算の考え方で計算を進めます。

ですから、「満水のタンクからA1本で排水し、全体の13/27排水したところで、Aを閉じてB1本を開けて排水、タンクを空」は次のような線分図で表せます。


答え ア 52、 イ 30
本問は、仕事算の考え方を使って条件を整理し、消去算と和差算を使って計算する定番の問題ですが、仕事算が苦手な人は少し難しく感じるかもしれません。
正解できないようでしたら、仕事算の原則、消去算の計算技法を確認しましょう。
なお、解答例の他に、A(またはB)の本数をそろえるという消去方法でもOKです。
2問目は仕事算の応用問題です。
【問題】次の□にあてはまる数を答えなさい。
栄くんと東さんの2人では30分、東さんと中さんの2人では36分で仕上がる仕事があります。この仕事を栄くん、東さん、中さんの3人で15分作業した後、さらに東さんだけが20分作業すると仕上がりました。この仕事をはじめから中さん1人ですると□分で仕上がります。
(栄東中学校 A日程 2025年 問題1-(6))
【考え方】
条件を式に整理します。

式に整理すると「3つの未知数と3つの条件」が与えられている「消去算」であるとわかります。
(ア)と(イ)をたし、さらに(ウ)を2倍して「栄」について「栄×30分」にそろえます。

(エ)より、東さんが1分にする仕事量と中さんが1分にする仕事量に比が3:2とわかります。
そこで、東さんが1分にする仕事量を 3/分、中さんが1分にする仕事量を 2/分 のように表すと、(イ)より仕事全体は
3/分×36分+2/分×36分=180
と求められます。
180÷2/分=90分
答え 90
本問は、仕事算の考え方を使った消去算です。
「名前のない仕事算(仕事能力に差がない)は単位時間あたりの仕事量(例:1台が1分間にする仕事量)を1とする」や「名前のある仕事算(仕事能力に差がある)は全体の仕事量を1または時間の最小公倍数とする」という原則を利用しにくい問題ですが、条件を式に表すことで方針を立てやすくなります。
なお、解答例の他に、(ウ)を「栄さん×15分+東さん×15分+東さん×20分+中さん×15分=仕事全体」のように表し、(ア)からわかる「栄さん×15分+東さん×15分=仕事全体の1/2」を代入して「東さん×20分+中さん×15分=仕事全体の1/2」を導きだし、(イ)と比べるという方法もあります。
3問目はニュートン算の問題です。
【問題】次の□に適当な数を入れなさい。
一定の割合で水が入ってくる貯水タンクに。□Lの水が入っています。この貯水タンクの水は、毎分150Lの割合でくみ出すとちょうど10分でなくなり、毎分125Lの割合でくみ出すとちょうど18分でなくなります。
(慶應義塾中等部 2025年 問題2-(4) 問題文一部変更)
【考え方】
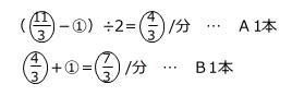
「名前のあるニュートン算(仕事能力に差がある)」ですから、全体の仕事量を時間(10分と18分)の最小公倍数である90○として、条件を「水そう解法」の図に表します。


(ア)と(イ)の差に着目すると
⑨/分-⑤/分=150L/分-125L/分 → ①=6.25L
とわかります。
6.25L×90=562.5L
答え 562.5
本問は、ニュートン算の基本問題です。
解答例では、全体の仕事量にあたる貯水タンクに入っている水の量を時間の最小公倍数としましたが、「排水量の合計=はじめに貯水タンクに入っていた水量+入ってくる水量の合計」のように考える解き方もあります。

(125L/分×18分-150L/分×10分)÷(18分-10分)=93.75L … 1分間に入る水
150L/分×10分-93.75L/分×10分=562.5L
4問目はニュートン算の応用問題です。
【問題】スーパーCは10時にオープンします。オープンと同時に有人レジ4台を開いたところ、10時10分に16人の客が会計をするために並んでいました。その後は毎分一定の客が並び、10時22分には32人の客が並んでしまったので、10時34分にこれまでの有人レジ4台に加えて、セルフレジ8台を開いたところ、10時52分には並んでいる客がいなくなりました。有人レジは、セルフレジの3/4倍の時間で通過でき、客がそれぞれのレジを通過する時間は全員同じものとします。
(1) 10時34分に並んでいた客は何人ですか。
(2) 有人レジを1人の客が通過するのにかかる時間は、何分何秒ですか。
(3) 1分間に並ぶ客は何人ですか。
(中央大学附属中学校 第1回 2025年 問題4)
【考え方】
(1)
数直線を用いて条件を整理すると、次のように表せます。

■人=16人ですから、
□人=32人+16人=48人
です。
答え 48人
(2)
(1)でわかったことを数直線に書き加えて、整理を続けます。

会計待ちの人数は、10時22分から10時34分までは毎分
16÷12=4/3人
の割合で増え、10時34分から10時52分までは毎分
48÷18=8/3人
の割合で減ります。
有人レジとセルフレジで、1人のお客がレジを通過する時間の比が 3:4 ですから、同じ時間に通過する人数の比は逆比の 4:3 です。
そこで、1分間に有人レジを通過する人数を4□人、セルフレジを通過する人数を3□、1分間に並ぶ客を☆人として、会計待ちの人数が1分あたりに増減する様子を式に表します。

消去算です。

答え 1分30秒
(3)

答え 4人
本問は、「(有人レジ、セルフレジのように)名前のあるニュートン算」なので「仕事全体を1または時間の最小公倍数に仮定」という原則を利用しようとしても、上手く使うことができません。
しかし、(1)を(2)のヒントにして条件を見やすくすると、消去算を使うニュートン算であると気づけます。
今回は、2025年度に共学中で出された「仕事算」と「ニュートン算」の問題をご紹介しました。
基本問題では「1人が決まった時間にする仕事量を1とする」や「全体の仕事量を1または時間の最小公倍数とする」などの原則を使い、応用問題では条件を見やすく整理して、正解できる問題を増やしていきましょう。
![]()

