第759回 共学中の入試問題 数の計算
「第759回 共学中の入試問題 数の計算」
前回まで2025年度に女子中の入試で出された問題について考えてきましたが、今回からは共学中の入試問題を見ていきます。
その1回目となる今回は「数の計算」を取り扱います。
1問目は工夫をすることができる計算問題です。
【問題】
次の□に当てはまる数を答えなさい。
16×4.02+1.6×29.1-0.32×34=□
(広尾学園小石川中学校 第1回 2025年 問題1-(2))
【考え方】
16=1.6×10、0.32=1.6×0.2 のように考えると、分配のきまりを利用できます。
16×4.02+1.6×29.1-0.32×34
=1.6×10×4.02+1.6×29.1-1.6×0.2×34
=1.6×(10×4.02+29.1-0.2×34)
=1.6×(40.2+29.1-6.8)
=1.6×62.5
=0.2×8×12.5×5
=0.2×5×8×12.5
=1×100
=100
答え 100
本問は、数を積の形に直すと分配のきまりを利用できる問題です。
解答例では「1.6」でくくりましたが、「16」や「0.32」でくくる計算方法もあります。
なお、1.6×62.5 は、そのまま計算する、8/5×125/2 のように分数を利用する などでもよいと思います。
2問目以降も、工夫をして計算することができます。
【問題】次の□にあてはまる数を求めなさい。
![]()
(開智日本橋学園中学校 第1回 2025年 問題1-(2))
【考え方】

答え 7
本問は、分配のきまりを使って( )を外す計算方法を確認できる問題です。
( )内の分数を通分して足して和を求めているときは、解答例のような工夫ができることを確かめましょう。
では、3問目です。
【問題】次の□にあてはまる数を答えなさい。
75+75+100+125=□×15
(三田国際学園中学校 第1回 2025年 問題1-(2))
【考え方】
75=15×5
100+125=225=15×15
を利用します。
75+75+100+125
=15×5+15×5+15×15
=(5+5+15)×15
=25×15 → □=25
答え 25
本問も1問目と同じように数を積の形に直すと分配のきまりを利用できる問題ですが、100+125=225=15×15 のように2数を足しておくことが工夫のポイントになっています。
4つの数を足して375を求めて
375÷15=25
としてもOKですが、解答例のような計算ができることも確かめましょう。
なお、
75+75=150=15×10
としても構いません。
4問目を見ていきましょう。
【問題】次の問いに答えなさい。
2025×2024+2024×2023-2023×2025-2022×2024 を計算しなさい。
(中央大学附属中学校 第1回 2025年 問題1-(2))
【考え方】
2025×2024+2024×2023-2023×2025-2022×2024
=2025×2024-2023×2025+2024×2023-2022×2024
=2025×(2024-2023)+2024×(2023-2022)
=2025×1+2024×1
=4049
答え 4049
本問は、交換のきまりを利用して順番を並べかえると分配のきまりを使えることが見つけやすくなる問題です。
「このまま計算するとものすごく大変になりそうな問題なので、もしかしたら工夫ができるかも…」と考えることができるといいですね。
5問目です。
【問題】次の□をうめなさい。
225-(12×□-□×3)=54
ただし、□には同じ数が入ります。
(青山学院横浜英和中学校 A日程 2025年 問題1-(2))
【考え方】
225-(12×□-□×3)=54
225-(12-3)×□=54
225-9×□=54
9×□=225-54=171
□=171÷9=19
答え 19
本問は、「□」であっても同じ数であれば分配のきまりを使うことができる問題です。
正解できないようでしたら、次のような面積図で表せることを確認しましょう。

ここから、工夫の仕方が変わります。
【問題】次の□にあてはまる数を求めなさい。
![]()
(芝浦工業大学附属中学校 第1回 2025年 問題2-(2))
【考え方】

答え 7
本問は、部分分数分解(上記の赤色波線部分)という考え方を利用できる問題です。
( )の中を
1/90+1/72=4/360+5/360=9/360=1/40
のように計算しているときは、解答例のような工夫ができることを確認します。
では、7問目です。
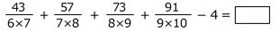
【問題】次の計算をしなさい。
![]()
(広尾学園中学校 第1回 2025年 問題1-(1))
【考え方】

答え 1/2020
本問も、部分分数分解を利用すると計算が簡単になる問題です。
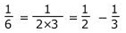
工夫ができないようでしたら、次のような数値の小さい分数を使って、部分分数分解の練習をしましょう。
![]()
次が最後の問題です。
【問題】次の□にあてはまる最も適当な数を答えなさい。
![]()
(東邦大学付属東邦中学校 前期 2025年 問題1-(3))
【考え方】

答え 1/15
本問も、部分分数分解を利用できる問題です。
帯分数の整数部分と「-4」が相殺できることポイントになっています。
今回は、2025年度に共学中の入試で出された「数の計算」の問題をご紹介しました。
取り扱った問題は「計算の工夫」がテーマとなっていますが、入試では順序よく計算する問題も出題されますので、これらの工夫のしかたと合わせ、速く、正確に計算できる力をつけていきましょう。
![]()

